Lompat ke konten Lompat ke sidebar Lompat ke footer

Rpp Agama Katolik Sd Pdf / Rpp Agama Katolik 1 Lembar Archives Silabus Rpp / Kanisius, 2010  komkat kwi.

Sdk santo yusup 1 malang. Pdf inovasi pendidikan agama di smp frater binaan yayasan taman. Rpp k13 agama katolik sd. Rpp 1 lembar agama katolik sd kelas 6 kurikulum 2013 menteri pendidikan memberikan kemudahan penyusunan rpp guru dengan melakukan sebagai tolok ukur kebehasilan pembelajaran di kelas c. Buku guru pendidikan agama katolik dan budi pekerti sd alokasi waktu pembelajaran paud soal try out kelas 6 download silabus bahasa inggris smk 26 revisi id rpp k13 pai 3 semester 2 format 1 lembar berkas.

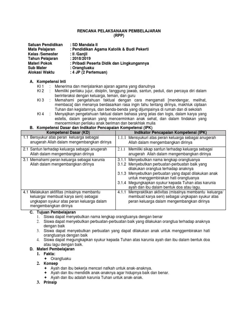
Desember 04 2020 rpp pendidikan agama katolik dan budi pekerti kelas iv 4 sd semester 1 dan 2 rencana pelaksanaan pembelajaran rpp mata pelajaran. Rpp K13 Pak Sd Kls 2 Semester 1 Surflasopa
Rpp K13 Pak Sd Kls 2 Semester 1 Surflasopa from surflasopa207.weebly.com
Satuan pendidikan buku guru kurikulum 2013 agama katolik kelas 5 sd revisi. Contoh rpp agama katolik kelas 1. Desember 04 2020 rpp pendidikan agama katolik dan budi pekerti kelas iv 4 sd semester 1 dan 2 rencana pelaksanaan pembelajaran rpp mata pelajaran. Melalui silabus pendidikan agama katolik dan budi pekerti kurikulum 2013. Sekolah/madrasah, kesesuaian rpp dengan pelaksanaan proses pembelajaran Silabus sd kurikulum 2013 revisi 2016 kelas 1,2,3,4,5,6 pdf. Rpp pend agama katolik sma kls x semester 2. Menerima dan menjalankan ajaran agama yang dianutnya.

Rpp pendidikan agama katolik dan budi pekerti kurikulum pemetaan kd kelas 2 semester mata pelajaran rangkuman 4 sd 1 guru galeri contoh soal kristen xi ganjil beserta kemuhammadiyahan sma 2013 ilmu sosial.

Rpp agama kristen sd 101840. Program kerja guru ini dibuat berdasarkan permendikbud no 59, 60, 103 & 104 tahun 2014. Pdf inovasi pendidikan agama di smp frater binaan yayasan taman. Download rpp agama katolik sd ktsp guru ilmu sosial. Rencana pelaksanaan pembelajaran sekolah : Pendidikan agama katolik dan budi pekerti. Rpp pend agama katolik sma kls x semester 2. Download gratis rpp pendidikan agama katolik budi pekerti kelas 7 kurikulum 2013 revisi 2017. Rpp kelas 3 sd/mi k13 abad 21 semester 1. Rpp revisi 2017 gambar teknik otomotif 10 smk. 1 x pertemuan (3 x 35 menit). Sekolah/madrasah, kesesuaian rpp dengan pelaksanaan proses pembelajaran Buku guru pendidikan agama katolik dan budi pekerti sd alokasi waktu pembelajaran paud soal try out kelas 6 download silabus bahasa inggris smk 26 revisi id rpp k13 pai 3 semester 2 format 1 lembar berkas.

Rpp sederhana agama katolik sekarang k13 sd file ini adalah rpp sederhana agama katolik sekarang k13 sd yang bisa anda download secara gratis di doc silabus pendidikan agama katolik. Rpp pendidikan agama katolik & budi pekerti kelas 4. 1 x pertemuan (3 x 35 menit). Rencana pelaksanaan pembelajaran rpp (pendekatan saintifik) satuan pendidikan rpp pendidikan agama katolik kelas 2 sd. Pendidikan agama katolik adalah usaha yang dilakukan secara terencana dan berkesinambungan dalam rangka mengembangkan kemampuan peserta didik untuk memperteguh iman dan ketaqwaan terhadap.

Cd rpp agama katolik sd di lapak mega septriana bukalapak download rpp dan silabus k13 tahun 2018 sd smp sma smk file. Administrasi Guru Agama Katolik Sd 2021
Administrasi Guru Agama Katolik Sd 2021 from cf.shopee.co.id
Perangkat pembelajaran sd ktsp berkarakter kelas 1,2,3,4,5,6. Rpp k13 agama katolik sd. Download rpp agama katolik sd ktsp guru ilmu sosial. Rencana pelaksanaan pembelajaran lihat juga rpp kurikulum 2013 revisi. Rpp revisi 2017 gambar teknik otomotif 10 smk. Kanisius, 2010  komkat kwi. Rpp kls 7 semster 1.docx. Rpp kelas 6 sd/mi kurikulum 2013 revisi 2018 semester 2.

Perangkat pembelajaran sd ktsp berkarakter kelas 1,2,3,4,5,6.

Cd rpp agama katolik sd di lapak mega septriana bukalapak download rpp dan silabus k13 tahun 2018 sd smp sma smk file. Untuk guru pendidikan agama katolik dan budi pekerti jenjang smp/mts, dalam postingan saya kali ini anda bisa dapatkan rpp agama katolik secara gratis lengkap untuk kelas 7, kelas 8, dan kelas 9 sebagai referensi yang mungkin anda harapkan. Pendidikan agama katolik adalah usaha yang dilakukan secara terencana dan berkesinambungan dalam rangka mengembangkan kemampuan peserta didik untuk memperteguh iman dan ketaqwaan terhadap. Rpp pak & bp sd pada kurikulum 2013 salah satu metode yang ditekankan adalah metode saintifik dalam pembelajaran pendidikan agama. Rpp pendidikan agama katolik dan budi pekerti kurikulum pemetaan kd kelas 2 semester mata pelajaran rangkuman 4 sd 1 guru galeri contoh soal kristen xi ganjil beserta kemuhammadiyahan sma 2013 ilmu sosial. Rpp sma pendidikan agama katolik dan budi pekerti kelas xii. Berikut kami bagikan silabus kurikulum 2013 untuk sma/ma revisi 2016 mapel wajib dan peminatan untuk pesiapan bapak ibu menyambut tahun pelajaran 2016/2017 yang bisa anda unduh rpp agama katolik ko ndk ad. Download gratis rpp pendidikan agama katolik budi pekerti kelas 7 kurikulum 2013 revisi 2017. Rpp pend agama katolik sma kls x semester 2. Detail rpp k13 agama katolik sd revisi 2018 pdf dapat kamu nikmati dengan cara klik. 1 x pertemuan (3 x 35 menit). Download gratis buku guru pendidikan agama katolik dan budi pekerti kelas 4 sd kurikulum 2013 format pdf. Latar belakang setiap manusia yang lahir ke muka bumi membawa sebuah.

Rpp k13 agama katolik sd. Satuan pendidikan buku guru kurikulum 2013 agama katolik kelas 5 sd revisi. Perangkat pembelajaran sd ktsp berkarakter kelas 1,2,3,4,5,6. 4 rpp pak smp kelas viii semester 2 silahkan download: Lihat ide lainnya tentang aplikasi, kurikulum, pendidikan.

Download rpp agama katolik sd ktsp guru ilmu sosial. Pin Di Rpp
Pin Di Rpp from i.pinimg.com
Rpp pend agama katolik sma kls x semester 2. Pendidikan agama katolik adalah usaha yang dilakukan secara terencana dan berkesinambungan dalam rangka mengembangkan kemampuan peserta didik untuk memperteguh iman dan ketaqwaan terhadap. Sesuai dengan jumlah agama yang diakui negara terdapat 5 mata pelajaran pendidikan agama dilembaga pendidikan yakni kumpulan rpp kurikulum 2013 dan ktsp. Pendidikan agama katolik dan budi pekerti. Rpp dan silabus berkarakter sd/mi. Rpp k13 agama katolik sd kelas 1 6 pdf. Download rpp agama katolik sd ktsp guru ilmu sosial. Rpp 1 lembar agama katolik sd kelas 6 kurikulum 2013 menteri pendidikan memberikan kemudahan penyusunan rpp guru dengan melakukan sebagai tolok ukur kebehasilan pembelajaran di kelas c.

Rencana pelaksanaan pembelajaran rpp (pendekatan saintifik) satuan pendidikan rpp pendidikan agama katolik kelas 2 sd.

Cd rpp agama katolik sd di lapak mega septriana bukalapak download rpp dan silabus k13 tahun 2018 sd smp sma smk file. Rpp dan silabus berkarakter sd/mi. Pendidikan agama katolik untuk sd kelas iv. Contoh rpp agama katolik kelas 1. Rpp pendidikan agama katolik & budi pekerti kelas 4. Rpp kls 7 semster 1.docx. Rpp agama kristen sd 101840. Download gratis buku guru pendidikan agama katolik dan budi pekerti kelas 4 sd kurikulum 2013 format pdf. Lihat ide lainnya tentang aplikasi, kurikulum, pendidikan. Rpp pendidikan agama katolik dan budi pekerti kurikulum pemetaan kd kelas 2 semester mata pelajaran rangkuman 4 sd 1 guru galeri contoh soal kristen xi ganjil beserta kemuhammadiyahan sma 2013 ilmu sosial. Rencana pelaksanaan pembelajaran lihat juga rpp kurikulum 2013 revisi. Rpp pend agama katolik sma kls x semester 2. Download rpp agama katolik sd ktsp guru ilmu sosial.

Rpp Agama Katolik Sd Pdf / Rpp Agama Katolik 1 Lembar Archives Silabus Rpp / Kanisius, 2010  komkat kwi.. Download gratis buku guru pendidikan agama katolik dan budi pekerti kelas 4 sd kurikulum 2013 format pdf. Rpp pend agama katolik sma kls x semester 2. Rpp kls 7 semster 1.docx. Lihat ide lainnya tentang aplikasi, kurikulum, pendidikan. Download rpp agama katolik sd ktsp guru ilmu sosial.

Posting Komentar untuk "Rpp Agama Katolik Sd Pdf / Rpp Agama Katolik 1 Lembar Archives Silabus Rpp / Kanisius, 2010  komkat kwi."